RETKE BOLESTI
EVO KAKO IZGLEDAJU OBRASCI ZA PRIJAVU ZA JEDNOKRATNU POMOĆ ZA OBOLELE OD RETKIH BOLESTI: Ovo je procedura (FOTO)
Svi detalji oko nove jednokratne novčane pomoći za osobe koje boluju od retkih bolesti
Vlada je, na predlog Ministarstva za brigu o porodici i demografiju, odlučila da se:
- Porodicama sa decom koja su obolela od retkih bolesti i ostalima koji su oboleli od retkih bolesti, koji su državljani Republike Srbije i upisani su u registar lica obolelih od retkih bolesti koji vodi Institut za javno zdravlje ,,Dr Milan Jovanović Batutˮ, isplati jednokratna novčana pomoć u iznosu od 25.000 dinara;
- Licima koja su obolela od retkih bolesti, koji su državljani Republike Srbije i upisani su u registar lica obolelih od retkih bolesti koji vodi Institut za javno zdravlje ,,Dr Milan Jovanović Batutˮ, dodele vaučeri za kupovinu lekova i medicinskih sredstava u iznosu od 35.000 dinara;
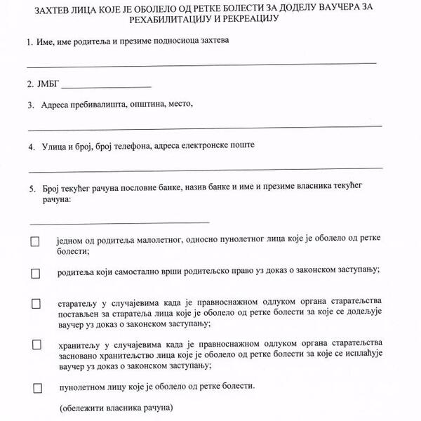
- Licima koja su obolela od retkih bolesti, koji su državljani Republike Srbije i upisani su u registar lica obolelih od retkih bolesti koji vodi Institut za javno zdravlje ,,Dr Milan Jovanović Batutˮ, dodele vaučeri za rehabilitaciju i rekreaciju u iznosu od 50.000 dinara.Save and publish
U zavisnosti od toga da li se zahtev podnosi za dodelu jednokratne novčane pomoći, za dodelu vaučera za kupovinu lekova i medicinskih sredstava ili za dodelu vaučera za rehabilitaciju i rekreaciju podnosilac zahteva popunjava obrazac za određenu vrstu podrške i dostavlja ga Ministarstvu za brigu o porodici i demografiju, Grupi za unapređenje kvaliteta života porodicama sa decom koja su obolela od retkih bolesti i ostalih koji su oboleli od retkih bolesti, na sledeću adresu- Bulevar Mihajla Pupina 2, Beograd i putem elektronske pošte: podrskaretkebolesti@minbpd.gov.rs.
Sva pitanja u vezi sa uslovima i načinom ostvarivanja prava na jednokratnu novčanu pomoć, vaučere za kupovinu lekova i medicinskih sredstava i vaučere za rehabilitaciju i rekreaciju dostavljaju se na elektronsku poštu: podrskaretkebolesti@minbpd.gov.rs.
Odgovori na pitanja mogu se dobiti i putem telefona broj: 0648622550, svakog radnog dana u periodu od 9 do 15 časova.
Potrebna dokumentacija je dostupna na linku: https://www.minbpd.gov.rs/podrska-obolelima-od-retkih-bolesti/
Pogledajte kako izgledaju obrasci:
Bonus video:
(Espreso / A.P)
Uz Espreso aplikaciju nijedna druga vam neće trebati. Instalirajte i proverite zašto!






